4.2 Disaccharide
4.2.1 Maltose (Malzzucker)
Vorkommen: Entsteht durch unvollständige Hydrolyse von Stärke .
Stärke -----(Enzym: Amylase)-----> Maltose
Verwendung: Gerstenmalz (Bier brauen)
Eigenschaften:
- Fehling positiv
- zeigt Mutarotation
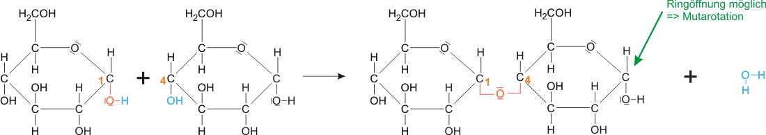
- besteht aus 2 α-D-Glucoseeinheiten, α-1→4 glycosidisch verknüpft.

4.2.2 Cellobiose
Vorkommen: Verdauungsprodukt von Pflanzenfressern aus Zellulose
Eigenschaften:
- Fehling positiv
- zeigt Mutarotation
- besteht aus 2 β-D-Glucoseeinheiten, β 1 → 4 glycosidisch verknüpft.
4.2.3 Lactose (Milchzucker)
Vorkommen: Muttermilch von Säugetiere (1,5 – 8 %)
Eigenschaften:
- Fehling positiv
- zeigt Mutarotation
Hydrolyse ergibt β-D-Glucose und β-D-Galactose, β-1 → 4 glycosidisch verknüpft.


